Date published: 2026-5-15

1-800-457-3801

SCBT Portrait Logo
Seach Input

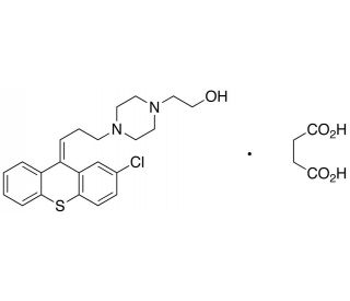
Zuclopenthixol Succinate Salt (CAS 1246833-58-8)

0.0(0)
寫評論提問

备用名:
4-[(3Z)-3-(2-Chloro-9H-thioxanthen-9-ylidene)propyl]-1-piperazineethanol Succinate; (Z)-Clopenthixol-Succinate; Cisordinol Succinate; Clopixol Succinate; cis-(Z)-Clopenthixol Succinate; cis-Clopenthixol Succinate; α-Clopenthixol Succinate
应用:
Zuclopenthixol Succinate Salt is a thioxanthene neuroleptic which exhibits antipsychotic properties
CAS号码:
1246833-58-8
纯度:
98%
分子量:
519.05
分子式:
C26H31ClN2O5S
仅供科研使用。不可用于诊断或治疗。
* 参考分析证明 大量特定数据 (包括水 含量).

快捷链接

琥珀酸祖氯倍醇盐是氯倍醇的顺式(Z)形式。琥珀酸盐氯倍他索也是一种具有抗精神病特性的硫氧杂蒽类神经安定剂。


Zuclopenthixol Succinate Salt (CAS 1246833-58-8) 参考文献

Sabbe, B., et al.: J. Psychiatr. Res., 30, 295 (1996), Riley, E., et al.: Schizophr. Res., 43, 47 (2000), Green, M., et al.: Biol. Psychiatry., 51, 972 (2002), Morrens, M., et al.: J. Clin. Psychopharmacol., 27, 15 (2007),

订购信息

产品名称产品编号规格价格数量收藏夹

Zuclopenthixol Succinate Salt, 1 mg

sc-213191
1 mg
CNY4287.00