

快捷链接
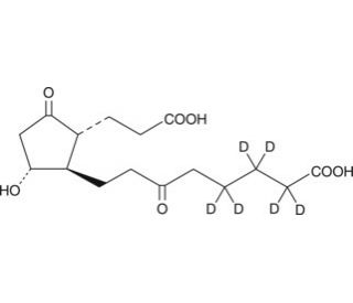
在 13、13'、14、14'、15 和 15' 位上含有六个氘原子,可用作气相色谱或液相色谱-质谱法量化四呋喃 PGEM 的内标。Tetranor PGEM-d6 是 PGE1 和 PGE2 的主要尿液代谢物,可作为 PGE2 生物合成的尿液标记物,也可用于监测输注或注射 PGE1 作为药物后的代谢情况。女性的排泄量较少,约为男性的三倍。口服 COX 抑制剂吲哚美辛(4 x 50 毫克/24 小时)后,尿液中的四硝基 PGEM 水平会下降 75-98%,这表明 PGE2 的生物合成几乎完全丧失。
订购信息
| 产品名称 | 产品编号 | 规格 | 价格 | 数量 | 收藏夹 | |
tetranor-PGEM-d6, 25 µg | sc-224306 | 25 µg | RMB4964.00 | |||
tetranor-PGEM-d6, 50 µg | sc-224306A | 50 µg | RMB9420.00 |