

快捷链接
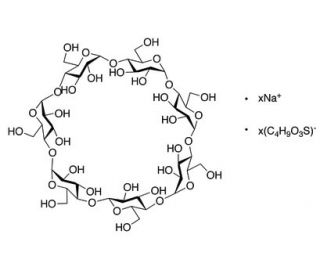
磺丁基醚-β-环糊精是β-环糊精的化学修饰衍生物,旨在增强难溶性化合物的溶解度和稳定性。β-环糊精是由α-1,4键连接的葡萄糖单元组成的环状低聚糖,形成具有亲水性外表面和疏水空腔的环形结构。这种独特的结构使环糊精能够通过将其封装在疏水核心内与多种客体分子形成包合物,从而提高它们在水中的溶解度。磺丁基醚基团增加了环糊精的亲水性,使其更易溶于水并与被封装分子更有效地相互作用。
订购信息
| 产品名称 | 产品编号 | 规格 | 价格 | 数量 | 收藏夹 | |
Sodium sulphobutylether-β-cyclodextrin, 1 g | sc-483092 | 1 g | RMB2369.00 | |||
Sodium sulphobutylether-β-cyclodextrin, 5 g | sc-483092A | 5 g | RMB5754.00 |