Date published: 2026-4-28

1-800-457-3801

SCBT Portrait Logo
Seach Input

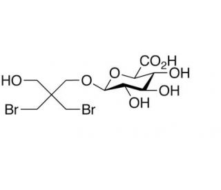
Pentaerythritol Dibromide β-D-Glucuronide (CAS 1138247-37-6)

0.0(0)
寫評論提問

CAS号码:
1138247-37-6
分子量:
438.06
分子式:
C11H18Br2O8
仅供科研使用。不可用于诊断或治疗。
* 参考分析证明 大量特定数据 (包括水 含量).

快捷链接

一种季戊四醇二溴化物代谢物。


Pentaerythritol Dibromide β-D-Glucuronide (CAS 1138247-37-6) 参考文献

Birnbaum, L., et al.: Toxicol. Appl. Pharmacol., 55, 342 (1980), Court, M., et al.: J. Pharmacol. Exp. Ther., 299, 998 (2001), Diehl, K., et al.: J. Appl. Toxicol., 21, 15 (2001), Knudsen, G., et al.: Toxicology, 237, 158 (2007), Sakamoto, S., et al.: Drug Metab. Dispos., 36, 1553 (2008), Hoehle, S.I., et al.: Drug Metab. Dispos., 37, 408 (2009),

订购信息

产品名称产品编号规格价格数量收藏夹

Pentaerythritol Dibromide β-D-Glucuronide, 5 mg

sc-212531
5 mg
CNY4062.00