

快捷链接
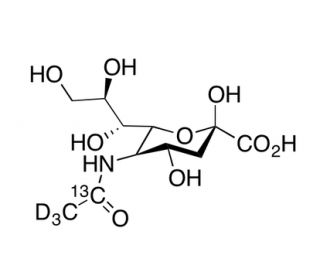
N-乙酰神经氨酸-13C,d3是N-乙酰神经氨酸的标记形式。它是一种在各种生物过程中起关键作用的化合物,具有重要的科学应用。分子量为313.28,这种同位素标记的版本结合了碳-13和氘原子,为研究人员提供了一种研究N-乙酰神经氨酸代谢和相互作用的宝贵工具。 N-乙酰神经氨酸-13C,d3通常用于科学研究,以研究含神经氨酸分子(特别是唾液酸)的生物合成、降解和功能。唾液酸是在细胞外表面发现的一类重要的糖分子,参与多种生物过程,包括细胞粘附、信号传导、免疫反应和病毒感染。标记化合物使研究人员能够追踪N-乙酰神经氨酸在复杂生物系统中的命运和掺入。通过利用同位素标记技术,科学家可以跟踪这种分子的代谢途径和转化,深入了解它在各种生理和病理条件下的作用。在作用机制方面,N-乙酰神经氨酸-13C,d3的功能与未标记的N-乙酰神经氨酸相似。它作为参与唾液酸生物合成和修饰的酶的底物和前体。将稳定同位素掺入N-乙酰神经氨酸-13C,d3中,可以追踪其在代谢途径中的命运,鉴定中间体和终产物。
订购信息
| 产品名称 | 产品编号 | 规格 | 价格 | 数量 | 收藏夹 | |
N-Acetylneuraminic Acid-13C,d3, 1 mg | sc-480093 | 1 mg | RMB5697.00 |