

快捷链接
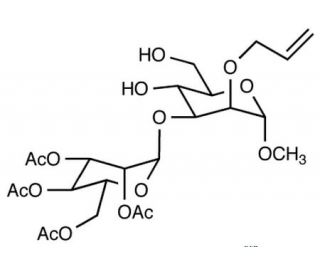
甲基 2-O-烯丙基-3-O-(2',3',4',6'-四-O-乙酰基-α-D-吡喃甘露糖基)-α-D-吡喃甘露糖苷是一种化合物,因其在碳水化合物化学和糖生物学研究中的潜在应用而受到广泛研究。它的结构复杂,由多个乙酰基和烯丙基连接到甘露糖分子上,为合成和修饰各种具有定制特性的碳水化合物衍生物提供了一个多功能平台。在研究中,这种化合物已被用作合成结构多样的寡糖和糖共轭物的构件,有助于探索碳水化合物-蛋白质相互作用和分子识别事件中的结构-功能关系。此外,分子中的烯丙基官能团可通过烯丙基化等化学反应进行选择性修饰,为制备可精确控制立体化学和区域选择性的高级糖共轭物开辟了途径。此外,四乙酰基还能保护活性羟基,促进合成操作,提高化合物在糖基化反应中的稳定性。总之,甲基 2-O-烯丙基-3-O-(2',3',4',6'-四-O-乙酰基-α-D-吡喃甘露糖基)-α-D-吡喃甘露糖苷是碳水化合物化学研究中的一个重要工具,它有助于深入了解碳水化合物的合成策略、分子识别机制以及开发在各学科中具有潜在应用价值的碳水化合物基材料。
订购信息
| 产品名称 | 产品编号 | 规格 | 价格 | 数量 | 收藏夹 | |
Methyl 2-O-Allyl-3-O-(2',3',4',6'-tetra-O-acetyl-α- D-mannopyranosyl)-α-D-mannopyranoside, 100 mg | sc-224068 | 100 mg | RMB4062.00 |