

快捷链接
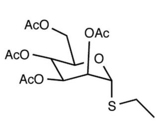
乙基 2,3,4,6-O-四乙酰基-α-D-硫代吡喃甘露糖苷是一种有价值的化合物,广泛用于碳水化合物化学和酶学研究。它的结构特点是异构碳上的硫醚取代和羟基位置上的乙酰基,使其在合成糖基化反应中作为糖基供体和受体非常有用。与氧类似物相比,硫代甘露糖苷分子具有更高的稳定性和反应活性,因此特别适用于具有挑战性的糖基化反应。研究人员利用这种化合物研究酶糖基化过程和酶的特异性,从而深入了解碳水化合物的生物合成和加工机制。此外,乙基 2,3,4,6-O-四乙酰基-α-D-硫代吡喃甘露糖苷是合成复杂低聚糖和糖共轭物的关键构件,可用于多种应用,包括开发基于碳水化合物的材料、糖模拟物和糖芯片。它在碳水化合物化学中的多功能性和实用性使其成为研究人员探索复杂的糖科学世界和开发新型碳水化合物化合物不可或缺的工具,这些化合物可能应用于生物技术、材料科学和化学生物学等多个研究领域。
订购信息
| 产品名称 | 产品编号 | 规格 | 价格 | 数量 | 收藏夹 | |
Ethyl 2,3,4,6-Tetra-O-acetyl-α-D-thiomannopyranoside, 5 g | sc-223970 | 5 g | RMB4287.00 |