

快捷链接
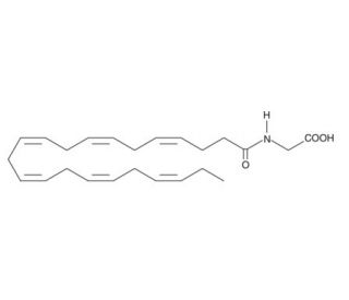
二十二碳六烯酰基甘氨酸(CAS 编号:132850-40-9)是一种具有生物活性的神奇脂质共轭物,它将二十二碳六烯酸(DHA)(一种因存在于鱼油和某些海藻中而闻名的欧米伽-3 脂肪酸)与氨基酸甘氨酸结合在一起。这种化合物属于脂肪酸酰胺类,由于其在细胞信号传导过程中的作用而格外引人关注。在研究中,人们对二十二碳六烯酰基甘氨酸进行了广泛的研究,因为它能够调节影响炎症和细胞应激反应的信号通路。该分子通过多种机制发挥作用,包括激活或抑制某些受体介导的途径,以及调节与脂肪酸和炎症介质代谢有关的酶活性。涉及二十二碳六烯酰基甘氨酸的研究通常侧重于它与 G 蛋白偶联受体(GPCR)等受体的相互作用,这些受体对细胞信号传导的许多方面都至关重要。通过这种相互作用,这种脂质衍生物有可能影响多种细胞功能,包括与细胞存活、增殖和对外部刺激的反应有关的功能。这些研究对于阐明脂肪酸衍生物在细胞通讯和调控中的复杂作用至关重要,有助于深入了解维持细胞平衡和反应机制的代谢和信号通路的复杂网络。
订购信息
| 产品名称 | 产品编号 | 规格 | 价格 | 数量 | 收藏夹 | |
Docosahexaenoyl glycine, 5 mg | sc-205298 | 5 mg | CNY745.00 | |||
Docosahexaenoyl glycine, 50 mg | sc-205298A | 50 mg | CNY6081.00 |