

快捷链接
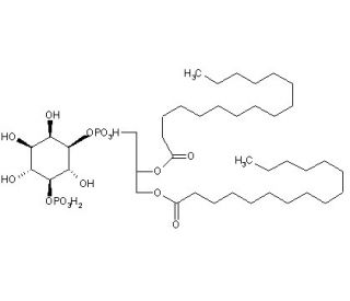
D- 肌醇-5-单磷酸,L-α-磷脂酰-(1,2-二棕榈酰)是一种特殊的磷脂衍生物,在细胞信号传导和膜动力学中发挥着至关重要的作用。由于其独特的结构和特性,这种化合物参与了各种细胞过程。它的主要功能之一是作为肌醇磷酸盐的前体参与细胞内信号级联,而肌醇磷酸盐是细胞中重要的次级信使。具体来说,D-肌醇-5-单磷酸可通过磷酸化产生多磷酸肌醇,如 1,4,5-三磷酸肌醇(IP3)和 1,3,4,5-四磷酸肌醇(IP4),它们参与离子通道、细胞骨架动力学和基因表达的调节。此外,作为细胞膜的一种成分,L-α-磷脂酰-(1,2-二棕榈酰)可调节膜结构和功能。它在脂质双分子层中的存在会影响膜的流动性、弯曲度和蛋白质定位,从而影响各种细胞过程,如内吞、外吞和细胞信号传导。对这种化合物的研究拓展了我们对脂质介导的信号传导途径和膜生物学的认识。此外,它的独特性质还使其成为研究脂质与蛋白质相互作用、膜贩运和脂质代谢的重要工具。脂质组学和成像技术的最新进展使研究人员能够更精确地探索 D-肌醇-5-单磷酸,L-α-磷脂酰-(1,2-二棕榈酰)在细胞生理学中的复杂作用,揭示其在健康和疾病中的重要意义。
订购信息
| 产品名称 | 产品编号 | 规格 | 价格 | 数量 | 收藏夹 | |
D-myo-Inositol 5-monophosphate, L-α-Phosphatidyl-(1,2-dipalmitoyl), 100 µg | sc-214825 | 100 µg | $210.00 |