

快捷链接
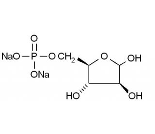
D-Arabinose 5-phosphate disodium salt(CAS:89927-09-3)在分子生物学研究中起着举足轻重的作用,因为它参与了磷酸戊糖途径(PPP),这是一条对核苷酸合成和氧化应激反应至关重要的代谢途径。作为阿拉伯糖的衍生物,这种化学物质有助于研究磷酸戊糖途径中的酶机制,特别是将戊糖转化为核苷酸前体的酶机制。研究人员利用 D-阿拉伯糖-5-磷酸二钠盐剖析核糖磷酸二磷酸激酶等特定酶的功能和调控机制,有助于加深对细胞代谢和酶动力学的理解。此外,这种化合物还是基因工程的重要工具,可用于研究和操纵细菌的代谢途径。通过改变这种戊糖衍生物的浓度,科学家可以观察到细胞过程的变化,从而深入了解代谢控制和途径工程。这对通过工程微生物系统改进包括氨基酸和生物塑料在内的生化产品的生产具有重要意义。详细研究这些机制的能力增强了我们对各种微生物代谢调控和代谢工程潜力的了解。
订购信息
| 产品名称 | 产品编号 | 规格 | 价格 | 数量 | 收藏夹 | |
D-Arabinose 5-phosphate disodium salt, 25 mg | sc-221467 | 25 mg | RMB11530.00 | |||
D-Arabinose 5-phosphate disodium salt, 100 mg | sc-221467A | 100 mg | RMB24719.00 |