

快捷链接
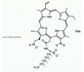
叶绿素e6单赖氨酸酰胺三钠盐是用于蛋白质组学研究的叶绿素e6衍生物。叶绿素e6(Ce6)以其对电磁光谱中的红色和近红外区域的强吸收而闻名,这使其在光动力疗法(PDT)和光声成像中特别有用。将Ce6修改为包含单赖氨酸酰胺基团和三个钠离子可增强其在水溶液中的溶解度和生物利用度,从而拓宽了其在研究中的应用。在光动力疗法中,叶绿素e6单赖氨酸酰胺三钠盐可用作光敏剂。被特定波长的光激活后,它会产生活性氧(ROS),从而破坏靶细胞。
订购信息
| 产品名称 | 产品编号 | 规格 | 价格 | 数量 | 收藏夹 | |
Chlorin e6 monolysine amide trisodium salt, 50 mg | sc-396863 | 50 mg | RMB5359.00 |