

快捷链接
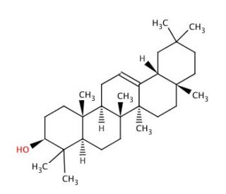
β-香树脂醇是天然存在的五环三萜类化合物的一种,具有显著的抗炎、抗菌、抗氧化和化学保护作用。它通过激活大麻素受体CB1和CB2,同时抑制细胞因子的产生以及NF-κB、CREB和环氧化酶2的表达来发挥作用。对β-香树脂醇及其衍生物作用机制的研究,有助于更深入地了解这类天然化合物是如何与生物系统相互作用的。β-香树脂醇在多种植物甾醇和皂苷的生物合成中起着重要作用,而这些物质对植物结构和防御病原体及食草动物的机制至关重要。
订购信息
| 产品名称 | 产品编号 | 规格 | 价格 | 数量 | 收藏夹 | |
β-Amyrin, 10 mg | sc-252376 | 10 mg | RMB5867.00 |