

快捷链接
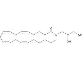
2-花生四烯酸甘油(2-AG)是中枢大麻素(CB1)受体的内源性激动剂。2,3 单酰基甘油脂肪酶(MGL)将 2-AG 水解为花生四烯酸和甘油,从而终止其生物作用。花生四烯酸-1-硫代甘油是 2-AG 的硫酯底物类似物,可用于测量 MGL 的活性。5 MGL 对硫酯键的水解会产生游离硫醇,游离硫醇会与显色试剂 DTNB(埃尔曼试剂)快速反应,产生一种黄色产物,在 412 纳米波长处具有最大吸光度。
订购信息
| 产品名称 | 产品编号 | 规格 | 价格 | 数量 | 收藏夹 | |
Arachidonoyl-1-thio-Glycerol, 1 mg | sc-221265 | 1 mg | RMB519.00 | |||
Arachidonoyl-1-thio-Glycerol, 5 mg | sc-221265A | 5 mg | RMB2324.00 |