

查看产品引用文献(1)
快捷链接
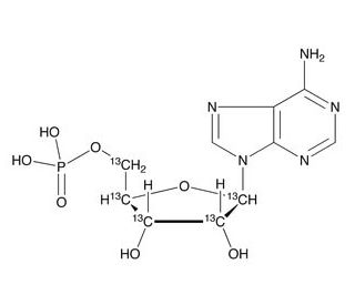
5'-一磷酸腺苷-13C5主要用作稳定同位素标记化合物,应用于质谱或核磁共振(NMR)光谱的研究中。通过引入这种标记的5'-一磷酸腺苷(AMP)版本,科学家可以在代谢研究中追踪和量化该分子,从而更清晰地研究能量转移和核苷酸代谢。它是阐明与AMP代谢相关途径的工具,包括其作为其他核苷酸合成前体的作用。此外,5'-一磷酸腺苷-13C5还用于研究涉及AMP的酶过程的调控,例如由AMP激活的蛋白激酶控制的过程。这种标记化合物还有助于研究AMP作为第二信使的信号转导途径,有助于理解细胞对激素和环境刺激的反应。
订购信息
| 产品名称 | 产品编号 | 规格 | 价格 | 数量 | 收藏夹 | |
Adenosine 5′-Monophosphate-13C5, 1 mg | sc-479689 | 1 mg | RMB6837.00 |