

快捷链接
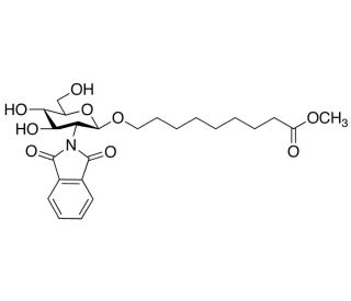
8-甲氧基羰基辛基-2-脱氧-2-邻苯二甲酰亚氨基-β-D-吡喃葡萄糖苷是一种特殊的化学物质,主要用于合成化学领域的糖结合物研究和糖类仿生学的开发。这种化合物具有独特的结构框架,其中包含一个邻苯二甲酰亚胺基团和一个连接到脱氧吡喃葡萄糖苷骨架上的甲氧基羰基辛基。酞酰亚胺基团起着保护基团的作用,可稳定分子并改变其电子特性,使其成为亲核取代反应的理想候选物质。这种特异性使研究人员能够探索糖苷合成的新途径,特别是创造出既能模仿天然糖的结构和功能,又能提高稳定性和改变相互作用能力的分子。加入甲氧基羰基辛基侧链后,分子的亲油性增强,从而可以研究类似糖脂的结构及其在生物膜内的相互作用。这种化合物有助于加深我们对碳水化合物介导的生物识别过程的了解,而这种识别过程对于细胞交流和病原体与宿主的相互作用至关重要。它的应用增强了糖科学合成工具箱的可用性,使我们能够深入了解糖结构在各种生理条件下的复杂行为。
订购信息
| 产品名称 | 产品编号 | 规格 | 价格 | 数量 | 收藏夹 | |
8-Methoxycarbonyloctyl-2-deoxy-2-phthalimido-β-D-glucopyranoside, 10 mg | sc-221149 | 10 mg | RMB4062.00 |