

查看产品引用文献(3)
快捷链接
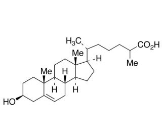
3-羟基-5-胆甾烯酸(3-HCA)是一种脂肪酸,作为胆汁酸的主要成分发挥着重要作用。3β- 羟基-5-胆甾烯酸是一种氧基甾醇。它由胆固醇氧化形成,参与各种生物过程,包括脂质代谢、细胞膜的形成和类固醇的生成。除了在胆固醇代谢中的作用外,氧基甾醇还是一种信号分子,可影响基因表达、细胞增殖、细胞凋亡和其他细胞过程。此外,3β-羟基-5-胆甾烯酸还具有显著的抗炎和抗氧化特性。
订购信息
| 产品名称 | 产品编号 | 规格 | 价格 | 数量 | 收藏夹 | |
3β-Hydroxy-5-cholestenoic Acid, 1 mg | sc-209761 | 1 mg | RMB5709.00 |