

快捷链接
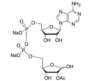
2'-3'-O-乙酰腺苷核糖二磷酸是作为烟酰胺腺嘌呤二核苷酸(NAD)的 sirtuin 介导的蛋白质去乙酰化代谢产物产生的。 sirtuins 是一类存在于所有生物体的古老酶类,它们首先将乙酰基从 Nε-乙酰赖氨酸残基转移到 NAD。水取代烟酰胺,生成 2'-3'-O-乙酰腺苷核糖二磷酸,并迅速平衡到混合酯中。有证据表明,2'-3'-O-乙酰腺苷核糖二磷酸作为 2'-和 3'-异构体的混合物作为细胞内第二信使。在中性pH下,2'-3'-O-乙酰腺苷核糖二磷酸的异构体以约1:1的比例存在,并通过非酶促的分子内转酯化生成。
订购信息
| 产品名称 | 产品编号 | 规格 | 价格 | 数量 | 收藏夹 | |
2′/3′-O-Acetyl ADP Ribose, 2.5 mg | sc-481663 | 2.5 mg | RMB4580.00 |