

查看产品引用文献(1)
快捷链接
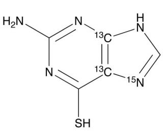
2-Amino-6-mercaptopurine-13C2,15N 是一种在实验应用中作为嘌呤类似物发挥作用的化合物。它通过干扰核酸合成和抑制次黄嘌呤-鸟嘌呤磷酸核糖转移酶(HGPRT)发挥作用。2-氨基-6-巯基嘌呤-13c2,15n会掺入细胞的DNA和RNA中,从而破坏正常的细胞过程。通过抑制 HGPRT,它可以阻止嘌呤碱基的循环,最终导致细胞内嘌呤池枯竭。这种对核酸合成和嘌呤代谢的破坏会对细胞产生细胞毒性作用,可能有助于研究细胞过程。通过对 2-氨基-6-巯基嘌呤-13C2,15N 进行同位素标记,可以跟踪和追溯其在生物系统中的代谢命运,从而更深入地了解其在分子水平上的作用机制。
订购信息
| 产品名称 | 产品编号 | 规格 | 价格 | 数量 | 收藏夹 | |
2-Amino-6-mercaptopurine-13C2,15N, 1 mg | sc-213744 | 1 mg | RMB3949.00 |