Date published: 2026-3-31

1-800-457-3801

SCBT Portrait Logo
Seach Input

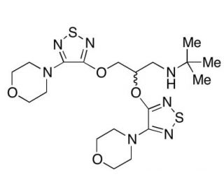
2-[4-(4-Morpholinyl)-1,2,5-thiadiazol-3-yl]-rac-Timolol Ether

0.0(0)
寫評論提問

分子量:
485.62
分子式:
C19H31N7O4S2
仅供科研使用。不可用于诊断或治疗。
* 参考分析证明 大量特定数据 (包括水 含量).

快捷链接

订购信息

产品名称产品编号规格价格数量收藏夹

2-[4-(4-Morpholinyl)-1,2,5-thiadiazol-3-yl]-rac-Timolol Ether, 1 mg

sc-477622
1 mg
CNY4287.00