

快捷链接
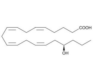
17-HETE 是花生四烯酸的细胞色素 P450(CYP450)代谢产物,对肾脏中的钠转运具有立体特异性影响。17(R)-HETE 对映异构体也是 17-HETE 的非活性异构体,而 (S) 对映异构体在浓度为 2 µM 时可抑制近端肾小管 ATP 酶的活性。1
订购信息
| 产品名称 | 产品编号 | 规格 | 价格 | 数量 | 收藏夹 | |
17(R)-HETE, 25 µg | sc-205064 | 25 µg | RMB2256.00 | |||
17(R)-HETE, 100 µg | sc-205064A | 100 µg | RMB7051.00 |