

快捷链接
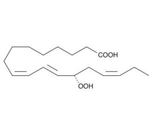
13(S)-HpOTrE 的化学文摘社编号为 67597-26-6,是十八碳三烯酸的过氧化氢衍生物,特别是 S-对映体。这种生化物质是通过脂氧合酶作用于亚麻酸,从而引入一个过氧氢基合成的。作为过氧化氢脂肪酸的一种,13(S)-HpOTrE 在生化研究中被大量用于研究脂质过氧化的复杂途径及其随后在细胞信号传导中的作用。这种化合物尤其重要,因为它参与了各种生物活性脂质介质生物合成的初始步骤。这些介质对调节免疫反应和炎症过程等多种细胞功能至关重要。在研究环境中,13(S)-HpOTrE 是探索细胞如何利用氧化脂质进行交流并对环境刺激做出反应的重要工具。涉及这种化合物的研究有助于解释下游代谢物的形成和作用,包括不同类型的白三烯和溶血素,它们在消除炎症和促进组织愈合方面发挥着关键作用。通过了解 13(S)-HpOTrE 在细胞环境中的行为和影响,研究人员可以更深入地了解脂质信号通路及其对细胞健康和适应性的影响。
订购信息
| 产品名称 | 产品编号 | 规格 | 价格 | 数量 | 收藏夹 | |
13(S)-HpOTrE, 100 µg | sc-205008 | 100 µg | RMB1173.00 | |||
13(S)-HpOTrE, 500 µg | sc-205008A | 500 µg | RMB5167.00 |