1-800-457-3801
一抗
融合蛋白标签
肿瘤抑制/细胞凋亡
细胞周期蛋白
转录调节因子
同源异型结构域蛋白
类固醇受体
激酶和磷酸酶
生长因子和激素
膜受体
信号传导介质
转运和运输
合成和降解
GDP/GTP 结合蛋白
神经生物学
通道蛋白
淋巴细胞信号通路
细胞粘附蛋白
结构蛋白
其他基因产物
用于兽医学研究的抗体
氨基酸修饰
非哺乳类
磷酸化特异
对照 IgG 和 IgG 偶联物
对照小鼠血清
单克隆和重组二抗
蛋白质 A,G-PLUS 和 L琼脂糖免疫沉淀试剂
鲁米诺化学发光试剂
IMMUNOCRUZ®染色系统
CRUZ MARKER™ 分子量标准
预染分子量标准
用于蛋白免疫印迹的封闭试剂
纯化试剂
生物活性蛋白和纯化蛋白
染色用封片剂
流式细胞术(FCM)试剂
ChIP试剂
磷酸酶抑制剂COCKTAILS
弗氏佐剂
ANNEXIN细胞凋亡检测试剂盒
EMSA 共识寡核苷酸
细胞裂解液&组织提取物
转染裂解物
CRISPR 敲除和激活产品
CRISPR 配套产品
siRNA 和 shRNA 基因沉默产品
siRNA 和 shRNA 配套产品
学习更多关于:
蛋白质抑制剂
蛋白质激活剂
蛋白质底物
干细胞试剂和细胞培养试剂
细胞培养试剂
干细胞试剂
抗生素
碳水化合物和脂质
核苷酸, 肽, 蛋白质和氨基酸
速激肽
神经活性氨基酸
具有生物活性的蛋白质和肽
交联剂
抗菌
抗真菌
抗细菌
抗感染
抗病毒
抗原虫
预制缓冲液
表面活性剂
实验室常规试剂
缓冲液组分
实验室标准生化试剂
封闭试剂
染色、染料、探针和标签
螯合剂
溶剂
其他化学品
移液器, 移液管和移液吸头
手套和通用清洁剂
放射自显影胶片, 胶带和塑料薄膜
封口膜
硝酸纤维素膜, PVDF 膜和尼龙膜
锥形离心管和离心管
滤瓶
容器
培养皿和细胞培养皿
多韦尔微板
高压灭菌器配件
针头, 尖锐物收集器和注射器
清洁剂
台式设备
细胞培养
CRYO SUPPLIES
PCR
实验室常规用途
快捷链接
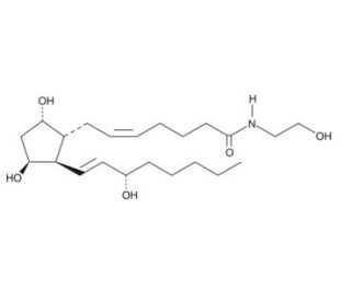
PGD2-EA 是内源性大麻素 AEA 在 COX-2 代谢过程中产生的理论上的肝脏代谢物,存在于大脑、肝脏和其他哺乳动物组织中。
规划 :
A solution in ethanol
物理状态 :
Liquid
保存 :
Store at -20° C
沸点 :
78° C
PubChem CID :
SMILES :
CCCCC[C@@H](/C=C/[C@H]1[C@@H](C[C@@H]([C@@H]1C/C=C\\CCCC(=O)NCCO)O)O)O
下载SDS
区域
分析证明书
产品编号
批次编号
如果您需要证书分析(COA),但在网站上找不到,您可以通过以下简单的步骤来获取它。请按照以下步骤操作。
按照这些步骤,即使 COA 在网上不可用,您也能获得所需的 COA。
订购信息