

快捷链接
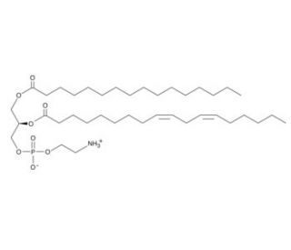
1-Palmitoyl-2-linoleoyl PE(磷脂酰乙醇胺)是一种磷脂分子,其甘油骨架的第一个位置酯化了棕榈酸,第二个位置酯化了亚油酸,并与乙醇胺头基相连。这种饱和脂肪酸和不饱和脂肪酸的特殊组成,加上乙醇胺头基的独特性质,使其成为研究膜生物学和脂质-蛋白质相互作用的重要脂质。亚油酸是一种多不饱和脂肪酸,它的存在在一定程度上增加了脂质双分子层的流动性和无序性,这对了解膜的动态(如囊泡的形成、融合和渗透性)至关重要。此外,乙醇胺头基还有助于分子的整体头基电荷和极性,影响与蛋白质和其他膜成分的相互作用。在研究中,1-棕榈酰-2-亚油酰聚乙烯被广泛用于模拟和研究生物膜的结构和功能特性。它让人们深入了解脂肪酸组成的变化如何影响膜的生物物理特性,以及如何影响细胞信号传导途径,特别是与膜弯曲和贩运有关的途径。这种磷脂还被应用于旨在解释特定脂质环境在调节蛋白质功能和细胞内定位中的作用的研究中,从而让人们更深入地了解细胞生理学中与膜相关的过程。
订购信息
| 产品名称 | 产品编号 | 规格 | 价格 | 数量 | 收藏夹 | |
1-Palmitoyl-2-linoleoyl PE, 5 mg | sc-204952 | 5 mg | RMB530.00 | |||
1-Palmitoyl-2-linoleoyl PE, 50 mg | sc-204952A | 50 mg | RMB3813.00 |