

快捷链接
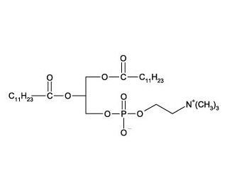
1,2-二月桂酰基-sn-甘油-3-磷酸胆碱可形成用于研究目的的多功能膜双层。可以选择性和ATP驱动的离子通过膜转运到纳米多孔载体中。1,2-二月桂酰基-sn-甘油-3-磷酸胆碱是细胞膜的重要组成部分,在多种细胞过程中起着至关重要的作用。此外,它已被广泛用于研究细胞膜结构和动力学。
订购信息
| 产品名称 | 产品编号 | 规格 | 价格 | 数量 | 收藏夹 | |
1,2-Dilauroyl-sn-glycero-3-phosphocholine, 50 mg | sc-208724 | 50 mg | RMB372.00 | |||
1,2-Dilauroyl-sn-glycero-3-phosphocholine, 250 mg | sc-208724A | 250 mg | RMB1185.00 |