Date published: 2026-5-16

1-800-457-3801

SCBT Portrait Logo
Seach Input

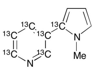
β-Nicotyrine-13C6 (CAS 487-19-4 unlabeled)

0.0(0)
寫評論提問

备用名:
3-(1-Methyl-1H-pyrrol-2-yl)pyridine-13C6; 3-(1-Methylpyrrol-2-yl)pyridine-13C6
CAS号码:
487-19-4 unlabeled
分子量:
160.12
分子式:
C413C6H6N2
仅供科研使用。不可用于诊断或治疗。
* 参考分析证明 大量特定数据 (包括水 含量).

快捷链接

订购信息

产品名称产品编号规格价格数量收藏夹

β-Nicotyrine-13C6, 0.5 mg

sc-478429
0.5 mg
CNY6092.00